Am vergangenen Montag wurde über den Antrag der SPD beraten, der klarstellen sollte, dass mündliche und nicht angemeldete Fragen im Rahmen der Einwohnerfragestunde seitens der Bürgerschaft gestellt werden können.
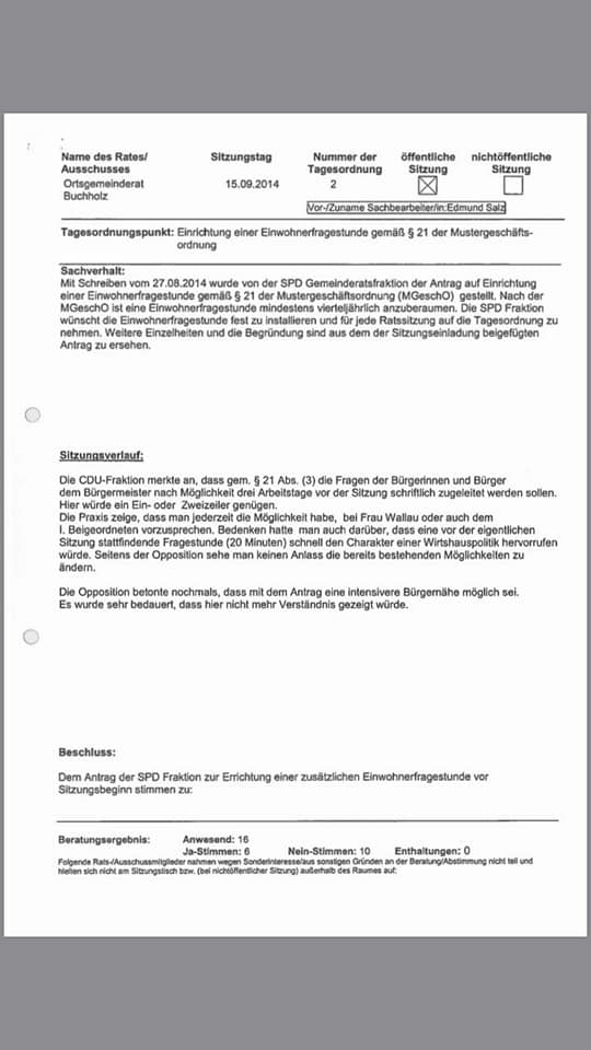
Im Jahre 2014 ist ein gleichlautender Antrag seitens der CDU abgelehnt worden (s. Bild 3).
In der jetzigen Ratssitzung teilte die CDU mit, dass ein Beschluss nicht nötig sei, da die Möglichkeit nach Paragraph 21 der Geschäftsordnung möglich sei.
Im Jahr 2014 hörte sich dies noch anders an...
Wir freuen uns darüber, dass sich die CDU nun unserer Lesart des Paragraphen 21 anschließt. Dieser ist nämlich gerade nicht eindeutig formuliert, da es dort heißt:
"Anfragen SOLLEN dem Bürgermeister nach Möglichkeit 3 Arbeitstage vor der Sitzung schriftlich vorgelegt werden."
In der Verwaltungssprache bedeutet das Wort "Soll", dass dies der Regelfall ist.
Wir möchten jedoch unbürokratisch ermöglichen, dass auch spontane Fragen gestellt werden können.
Mit der eindeutigen Aussage der CDU müsste dies also nun möglich sein.
Wir verlassen uns darauf und haben daher den Antrag zurückgezogen.
Wir hoffen, dass die Bürgerinnen und Bürger künftig rege Gebrauch von der Möglichkeit machen. Wir freuen uns jedenfalls auf viele Fragen und Anregungen!


